 |
| Автор |
Сообщение |
|
Simpomponchik
|
Заголовок сообщения: Re: Похудеть на 61 lb Добавлено: 30 мар 2011, 19:28 |
|
Зарегистрирован: 24 ноя 2009, 09:25 Сообщения: 6521 Откуда: Москва - Чугунки
|
Ami писал(а): Кстати о jelly, покупаю такое-polaner sugar free fiber jelly . Вкусное очень и полезное! На мой полезный тост-само то. А иногда просто пару ложек после еды в качестве десерта, когда сладкого охота.оно есть простое, как на первой фотке без сахара, а есть как на ниже обогащенное файбером. Почти везде оно на полках с желе продается. 10 ккал в ложке Там, к-сожалению, содиум бензоат и крaсители: http://www.shopwell.com/polaner-all-fru ... nr=13&sp=0 Я как раз мужу искала, он без них не может...
_________________ Умное лицо — это ещё не признак ума, господа. Все глупости на земле делаются именно с этим выражением лица.
|
|
 |
|
 |
|
Simpomponchik
|
Заголовок сообщения: Re: Похудеть на 61 lb Добавлено: 30 мар 2011, 19:39 |
|
Зарегистрирован: 24 ноя 2009, 09:25 Сообщения: 6521 Откуда: Москва - Чугунки
|
|
Вот еще интересно - повидло без сахара и без искуственных подсластителей: 10 калорий в ложке
Bayfield Apple Butter
Ingredients: Fresh Pressed Apples, Apple Cider, And Cinnamon
http://www.shopwell.com/bayfield-apple- ... nr=13&sp=1
_________________ Умное лицо — это ещё не признак ума, господа. Все глупости на земле делаются именно с этим выражением лица.
|
|
 |
|
 |
|
nipp
|
Заголовок сообщения: Re: Похудеть на 61 lb Добавлено: 30 мар 2011, 19:46 |
|
 |
| Богиня Мудрости |
 |
|
|
Зарегистрирован: 05 июл 2010, 17:53 Сообщения: 1121 Откуда: DC
|
Rbride писал(а): Санни, вы как-то давали этот сайт бодибидинг.сом и там была ссылка на тетю которая выглядела ну очень уныло и полненько и как она похудела. я была поражена результатом. А как там найти других таких тетей с хорошим результом? люблю смотреть для мотивации...я там зашла в галлерею и там много фоток просто как фоток, без до и после. а как найти succes stories? http://www.nbc.com/the-biggest-loser/
|
|
 |
|
 |
|
nipp
|
Заголовок сообщения: Re: Похудеть на 61 lb Добавлено: 30 мар 2011, 20:49 |
|
 |
| Богиня Мудрости |
 |
|
|
Зарегистрирован: 05 июл 2010, 17:53 Сообщения: 1121 Откуда: DC
|
Istina писал(а): А орехи мне даже показывать нельзя. Я- маньяк. Специально не покупаю даже. Табу (пока). Одну жменю в день - не помешает. Но если не можете себя контролировать, то лучше не искушать. Istina писал(а): Я наконец-то в спорт втянулась. Раньше хоть на конюшне все сбрасывала, а тут - тишина - покой.... теперь все, втянулась. Вот прямо сейчас у меня первый подход к снаряду. Скину калорий 200 и вернусь! Кстати, то, что тренажер говорит это реальные скинутые калории (я программу выставляю, делаю и после достижения цели он показывает сколько калирой сожжено.)? Это так и есть? Если вы делаете упражнение первый раз или после длительного перерыва (несколько месяцев). То да. Будет близко. Если вы постоянно делаете упражнение, то эффективность будет падать. Да две недели тело адаптируется так, что будет тратить приблизительно половину от того что вам говорит машинка. Istina писал(а): Еще вопрос. Я много сплю. Ну, как, ложимся в 11. Утром в 4 встаю, муженечка на работу собираю- провожаю, потом еще часок-полтора по телефону болтаю, либо с вами, на форуме, и снова спать! И так до 10 примерно досыпаю. Получается с перерывами 8 часиков спокойно, а то и 9. Как думаете, может мне не ложиться, не досыпать? Может из-за сна не худеется, мол день поздно начинаю... HGH выделяется только во сне. Так что чем больше спите тем эффективнее худеете. Вообще, отдых это очень важная составляющая процесса. Также как и стресс. Отдыхайте больше, держитесь подальше от стресса и всё пойдёт как по маслу.
|
|
 |
|
 |
|
Ami
|
Заголовок сообщения: Re: Похудеть на 61 lb Добавлено: 30 мар 2011, 20:52 |
|
 |
| Богиня Мудрости |
 |
|
|
Зарегистрирован: 12 янв 2007, 19:06 Сообщения: 15795
|
Simpomponchik писал(а): В Поланер не только Спленда, там еще и другие вредные ингредиенты есть - красители: http://www.foodfacts.com/food/Marmalade ... 0%20/19664 )) ты как всегда, мы с тобой на разных волнах )))  Меня красителями номер 6 и тдп. не испужаешь! ))) Мы не на ферме, где все свое натуральное все ж. Допускаю разумную норму каки прогресса! ) 
|
|
 |
|
 |
|
Simpomponchik
|
Заголовок сообщения: Re: Похудеть на 61 lb Добавлено: 30 мар 2011, 21:04 |
|
Зарегистрирован: 24 ноя 2009, 09:25 Сообщения: 6521 Откуда: Москва - Чугунки
|
Ami писал(а): Simpomponchik писал(а): В Поланер не только Спленда, там еще и другие вредные ингредиенты есть - красители: http://www.foodfacts.com/food/Marmalade ... 0%20/19664 )) ты как всегда, мы с тобой на разных волнах )))  Меня красителями номер 6 и тдп. не испужаешь! ))) Мы не на ферме, где все свое натуральное все ж. Допускаю разумную норму каки прогресса! )  
_________________ Умное лицо — это ещё не признак ума, господа. Все глупости на земле делаются именно с этим выражением лица.
|
|
 |
|
 |
|
marina
|
Заголовок сообщения: Re: Похудеть на 61 lb Добавлено: 30 мар 2011, 21:51 |
|
Зарегистрирован: 29 окт 2002, 00:13 Сообщения: 23702 Откуда: Texas
|
Gelato писал(а): Не так то, что эти 500 калорий в рацион не засчитываются, снек все-таки.  ааа..понятно..у меня это мой завтрак Глянула варенье, на моём написано 18 калл на ложку варенья.
_________________ A woman in Russia has a chance to be almost everything except a woman
|
|
 |
|
 |
|
Istina
|
Заголовок сообщения: Re: Похудеть на 61 lb Добавлено: 31 мар 2011, 05:57 |
|
Зарегистрирован: 29 мар 2009, 22:05 Сообщения: 206
|
Цитата: nipp писал(а): Istina писал(а): Если вы делаете упражнение первый раз или после длительного перерыва (несколько месяцев). То да. Будет близко. Если вы постоянно делаете упражнение, то эффективность будет падать. Да две недели тело адаптируется так, что будет тратить приблизительно половину от того что вам говорит машинка.
HGH выделяется только во сне. Так что чем больше спите тем эффективнее худеете. Вообще, отдых это очень важная составляющая процесса. Также как и стресс. Отдыхайте больше, держитесь подальше от стресса и всё пойдёт как по маслу. nipp, спасибо, все полняла. Буду постепенно поднимать уровень нагрузой и делать ленивый день, что бы организм не сильно-то привыкал Я так понимаю, что пока эффект выжатого лимона на лице после тренировки - значит пока жгутся калории, как перестала выжиматься, как стало "в кайф" - значить пора уровень поднимать, так? Про сон хорошая "новость", буду продолжать 
|
|
 |
|
 |
|
Lomas
|
Заголовок сообщения: Re: Похудеть на 61 lb Добавлено: 31 мар 2011, 06:01 |
|
 |
| Богиня Мудрости |
 |
|
|
Зарегистрирован: 13 апр 2005, 09:31 Сообщения: 1466
|
Фрося писал(а): Ami писал(а): Фрося писал(а): Сании, ты шейки протеиновые водой разбавляешь? Я их так и не могу пить с водой, такая гадость редкостная...только с молоком и прочими ягодными прибамбасами:) Или у тя какие-н. особенные шейки, что и с водой вкусно?:) Скажу по секрету-часто их водой. ))) Неа, не вкусно, заглотил быстро и все. )))))) Мне нравится один очень-он плейн, вкуса нет, белый как порошок, такой было тяжело найти, все со вкусами. (90ккал2 карбс), вода водой мутная ))))) ну, что скажешь тут, Ами, якккк:))), но надо... я с собой обычно только воду ношу, а уже дома делаю шейк с молоком, медом и ягодами... Девочки попробуйте Чемпион. С водой хорошо пьется. Я сегодня впервые с молоком попробывала- не понравилось. Слишком сладко. В следущий раз если с молоком то разбавлю льдом http://www.vitacost.com/Champion-Nutrit ... -Chocolate
|
|
 |
|
 |
|
Simpomponchik
|
Заголовок сообщения: Re: Похудеть на 61 lb Добавлено: 31 мар 2011, 06:26 |
|
Зарегистрирован: 24 ноя 2009, 09:25 Сообщения: 6521 Откуда: Москва - Чугунки
|
SunnyAK писал(а): Istina писал(а): чем добавить недостающие калории? Овощи, whole grains, lean meat. Да, еще надо добавить нежирные кисломолочные продукты - простой йoгурт без добавленного сахара, маложирный кефир и батермилк, маложирный творог и маложирный греческий йoгурт. Из них можно делать хорошие натуральные коктейли с фруктами без всякой химии. 
_________________ Умное лицо — это ещё не признак ума, господа. Все глупости на земле делаются именно с этим выражением лица.
|
|
 |
|
 |
|
nipp
|
Заголовок сообщения: Re: Похудеть на 61 lb Добавлено: 31 мар 2011, 06:48 |
|
 |
| Богиня Мудрости |
 |
|
|
Зарегистрирован: 05 июл 2010, 17:53 Сообщения: 1121 Откуда: DC
|
Istina писал(а): nipp, спасибо, все полняла. Буду постепенно поднимать уровень нагрузой и делать ленивый день, что бы организм не сильно-то привыкал Я так понимаю, что пока эффект выжатого лимона на лице после тренировки - значит пока жгутся калории, как перестала выжиматься, как стало "в кайф" - значить пора уровень поднимать, так? Калории жгутся в любом случае. Просто если повторять одно и то же, организм приспосабливается использовать меньше мышечных волокон. Так чтобы тратить меньше энергии. Эффект "выжатости" это всегда хороший знак. Ещё лучше если потом ещё и DOMS добавляется. Эффективнее всего делать много разнообразных упражнений.
|
|
 |
|
 |
|
littlemissunshine
|
Заголовок сообщения: Re: Похудеть на 61 lb Добавлено: 31 мар 2011, 07:06 |
|
 |
| звезда |
 |
|
|
Зарегистрирован: 17 янв 2011, 14:34 Сообщения: 65
|
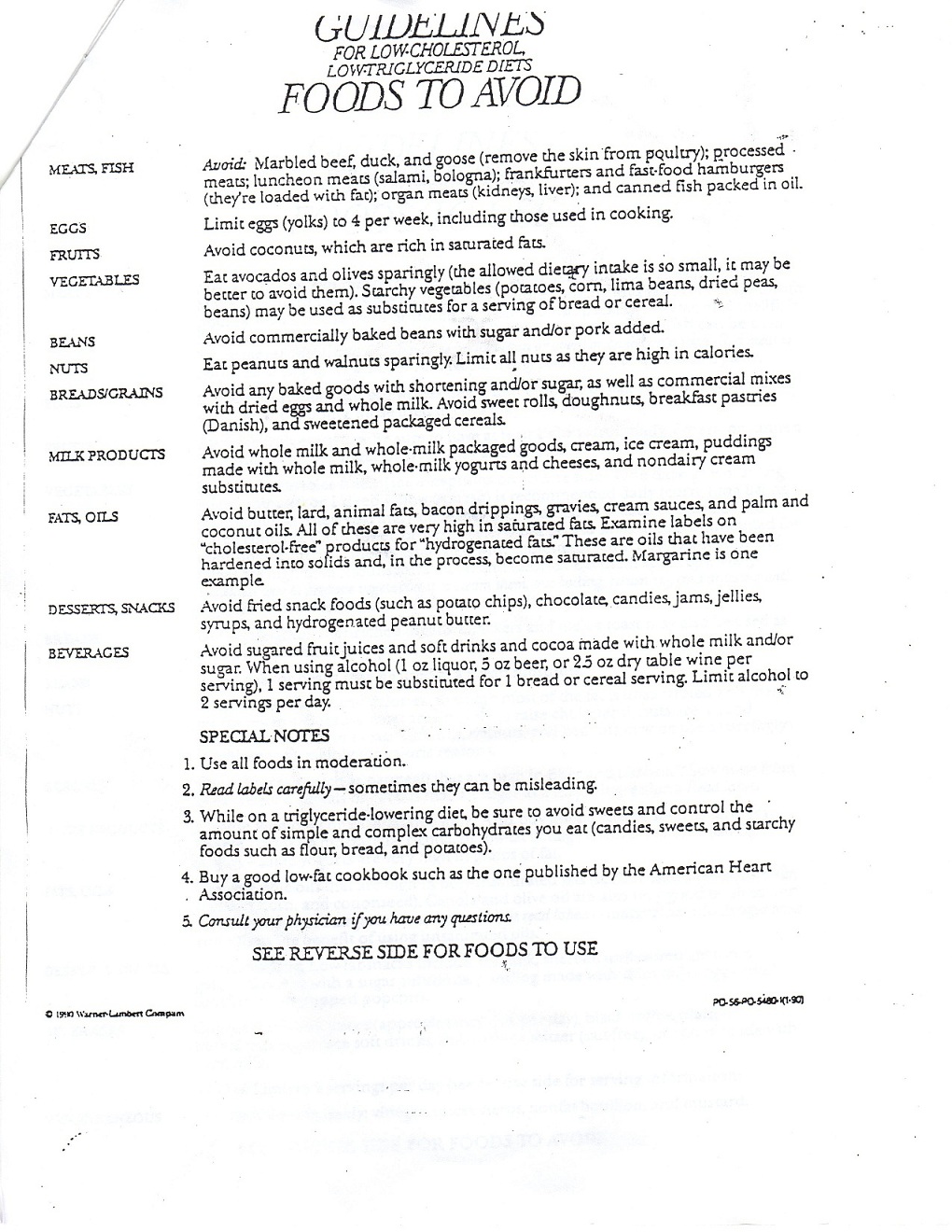
SunnyAKМне врач дал просто бумажку, Guidelines for low cholesterol low-triglyceride diets foods to use. Вот ссылка: http://www.americanheart.org/presenter. ... ifier=4778 Там написано брать белки из lean meat, poultry и в для многих людей 6 oz (170 граммов) мяса достаточно в день. Отсканировала свой листочек специально для форума. P.S. Ладно не смейтесь насчет моего 500 калл снека, не считала в рацион каллорий потому что не ем каждый день, раз в неделю иногда. 
| Вложения: |

img002.jpg [ 393.5 КБ | Просмотров: 1341 ]
|

img001.jpg [ 473.4 КБ | Просмотров: 1341 ]
|
|
|
 |
|
 |
|
Simpomponchik
|
Заголовок сообщения: Re: Похудеть на 61 lb Добавлено: 31 мар 2011, 07:32 |
|
Зарегистрирован: 24 ноя 2009, 09:25 Сообщения: 6521 Откуда: Москва - Чугунки
|
schmetterling писал(а): Я вот задумалась, почему я, когда жила в Германии, то ходила в джим практически каждый день, а вот в Штатах мотивация очень слабая. In my opinion, a quintessential Аmerican can not be "naturally thin". Здесь можно быть только "naturally fat". Надо дойти до кондиции - тотального отрицания американской культуры - еды, боязни ходить пешком, смотрения телика часами - может че изменится.  Достаточно просто выйти на улицу и посмотреть вокруг внимательно - вы увидите, что некоторые американцы очень даже ничего - бегают, ходят много пешком быстрым шагом, катаются на велосипедах и т.д. и они достаточно стройные... вам нужно равняться на них, а а не на толстых... 
_________________ Умное лицо — это ещё не признак ума, господа. Все глупости на земле делаются именно с этим выражением лица.
|
|
 |
|
 |
|
Simpomponchik
|
Заголовок сообщения: Re: Похудеть на 61 lb Добавлено: 31 мар 2011, 07:37 |
|
Зарегистрирован: 24 ноя 2009, 09:25 Сообщения: 6521 Откуда: Москва - Чугунки
|
littlemissunshine писал(а): SunnyAKМне врач дал просто бумажку, Guidelines for low cholesterol low-triglyceride diets foods to use. Вот ссылка: http://www.americanheart.org/presenter. ... ifier=4778 Там написано брать белки из lean meat, poultry и в для многих людей 6 oz (170 граммов) мяса достаточно в день. Отсканировала свой листочек специально для форума. P.S. Ладно не смейтесь насчет моего 500 калл снека, не считала в рацион каллорий потому что не ем каждый день, раз в неделю иногда.  Все правильно. Слишком много белка тоже не нужно. Особенно маленьким женщинам, которые не cлишком много занимаются в джиме. А то будет слишком большая нагрузка на почки и суставы. А с возрастом эта потребность становится даже еще меньше. 
_________________ Умное лицо — это ещё не признак ума, господа. Все глупости на земле делаются именно с этим выражением лица.
|
|
 |
|
 |
|
lovelyannie
|
Заголовок сообщения: Re: Похудеть на 61 lb Добавлено: 31 мар 2011, 07:59 |
|
Зарегистрирован: 20 фев 2009, 01:30 Сообщения: 6706 Откуда: Desperate Housewife from Fairview, Eagle State
|
199  Вперые за 3 месяца, наконец-то... Проклятые 200, вы в прошлом 
_________________ Продам дрова - недавно наломала.
|
|
 |
|
 |
|
Кто сейчас на конференции
Сейчас этот форум просматривают: нет зарегистрированных пользователей и гости: 23 |
| |
|
|
Вы не можете начинать темы Вы не можете отвечать на сообщения Вы не можете редактировать свои сообщения Вы не можете удалять свои сообщения Вы не можете добавлять вложения
|
|
|